stepenin.ru
Химия
9-11 классы
11 класс
Курс
ЕГЭ-2026
Тот самый вышак Степенина и Дацук
Задания
Варианты ЕГЭ
Добротин
Доронькин
Неорганика
Органика
Задача 34
10 класс
Курсы
Органика с нуля
Бесплатный годовой курс с вебинарами
Курс 10 класса
Платный годовой курс с рабочей тетрадью
Задания
Органика
Пособия
Учебник по органике
Тетрадь по органике
9 класс
Задания
Варианты ОГЭ
Задания по номерам ОГЭ
Биология
11 класс
Курсы
ЕГЭ-2026
Топчик Риты, Дины и Ирины
Секретная страница
Бесплатный годовой курс
Задания
Варианты ЕГЭ
Задания по номерам
Ботаника
Зоология
Экология
Эволюция
Анатомия
Общая биология
Генетика
Рейтинг
Магазин
VK ID
Химия
9-11 классы
11 класс
Курс
ЕГЭ-2026
Задания
Варианты ЕГЭ
Добротин
Доронькин
Неорганика
Органика
Задача 34
10 класс
Курсы
Органика с нуля
Платный курс 10 класса
Задания
Органика
Пособия
Учебник по органике
Тетрадь по органике
9 класс
Задания
Варианты ОГЭ
Задания по номерам ОГЭ
Биология
11 класс
Курсы
ЕГЭ-2026
Секретная страница
Задания
Варианты ЕГЭ
Задания по номерам
Ботаника
Зоология
Экология
Эволюция
Анатомия
Общая биология
Генетика
Рейтинг ›
Магазин ›
Годовой курс к ЕГЭ-2027
. Когда реально начинаешь шарить.
Смотреть все видеоразборы теста
Биология. База заданий
›
Задания по номерам
→ Клеточный цикл, размножение и развитие
179 вопрос
· ID 108353
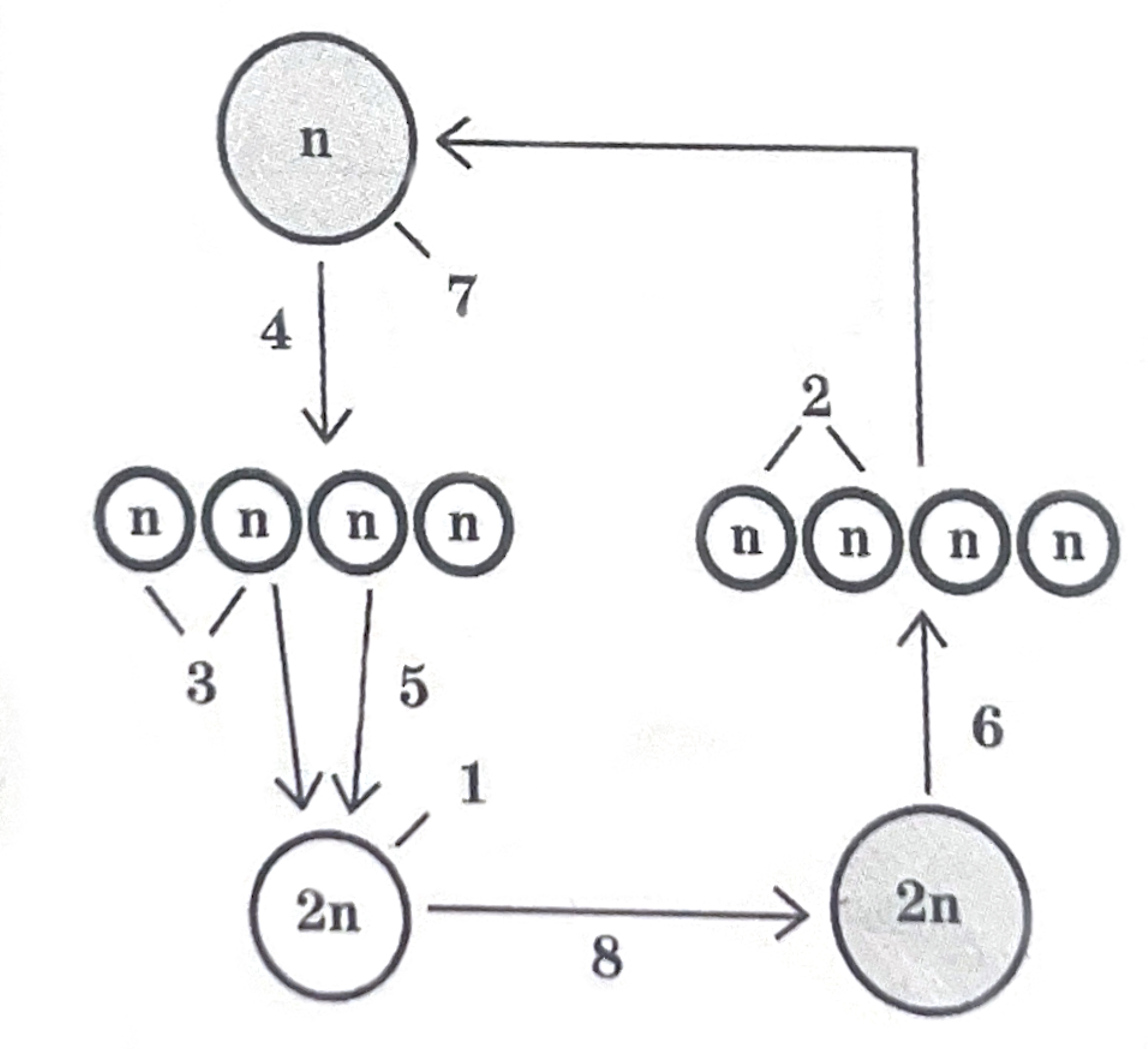
Каким номером на схеме обзначен порцесс образования многоклеточной диплоидной структуры?
Следующий вопрос
Войти с VK ID
57%
учеников отвечают на вопрос правильно
1
2
3
4
5
6
7
8
9
10
11
12
13
14
15
16
17
18
19
20
21
22
23
24
25
26
27
28
29
30
31
32
33
34
35
36
37
38
39
40
41
42
43
44
45
46
47
48
49
50
51
52
53
54
55
56
57
58
59
60
61
62
63
64
65
66
67
68
69
70
71
72
73
74
75
76
77
78
79
80
81
82
83
84
85
86
87
88
89
90
91
92
93
94
95
96
97
98
99
100
101
102
103
104
105
106
107
108
109
110
111
112
113
114
115
116
117
118
119
120
121
122
123
124
125
126
127
128
129
130
131
132
133
134
135
136
137
138
139
140
141
142
143
144
145
146
147
148
149
150
151
152
153
154
155
156
157
158
159
160
161
162
163
164
165
166
167
168
169
170
171
172
173
174
175
176
177
178
179
180
181
182
183
184
185
186
187
188
Биология ЕГЭ
Биология ЕГЭ
ЕГЭ биология