Правильный ответ
Элементы ответа:
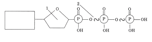
1) молекула АТФ;
2) 1 — рибоза;
3) 2 — макроэргические связи;
4) запас энергии (универсальный аккумулятор энергии в клетке);
5) в митохондриях и в хлоропластах.
За дополнительную информацию, не имеющую отношения к вопросу задания, баллы не начисляются, но за наличие в ней ошибок снимается 1 балл.
|
элементы
|
5
|
4
|
3
|
|
баллы
|
3
|
2
|
1
|
Полное решение
Элементы ответа:
1) молекула АТФ;
2) 1 — рибоза;
3) 2 — макроэргические связи;
4) запас энергии (универсальный аккумулятор энергии в клетке);
5) в митохондриях и в хлоропластах.
За дополнительную информацию, не имеющую отношения к вопросу задания, баллы не начисляются, но за наличие в ней ошибок снимается 1 балл.
|
элементы
|
5
|
4
|
3
|
|
баллы
|
3
|
2
|
1
|