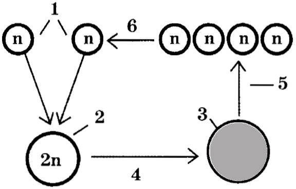
Установите соответствие между характеристиками и структурами жизненного цикла животного, обозначенными на схеме цифрами 1, 2, 3: к каждой позиции, данной в первом столбце, подберите соответствующую позицию из второго столбца.

| ПРОЦЕССЫ | СТРУКТУРЫ ЖИЗНЕННОГО ЦИКЛА |
|
A) зигота Б) многоклеточная структура B) половые клетки Г) происходит гаметогенез Д) различные у мужской и женской особей |
1) 1 2) 2 3) 3 |
Запишите в таблицу выбранные цифры под соответствующими буквами.