Для выполнения задания используйте следующий перечень веществ:
гидроксид бария, нитрат серебра, гидрокарбонат натрия, нитрат железа(III), иодид натрия, нитрит натрия. Допустимо использование воды в качестве среды для протекания реакции.
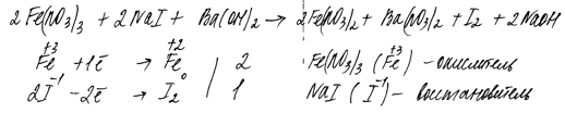
Из предложенного перечня выберите вещества, между которыми протекает окислительно-восстановительная реакция, не сопровождающаяся выделением газа. Запишите уравнение только одной из возможных окислительно-восстановительных реакций с участием выбранных веществ. Составьте электронный баланс, укажите окислитель и восстановитель.
Оцените ответ:
