Для выполнения задания используйте следующий перечень веществ:
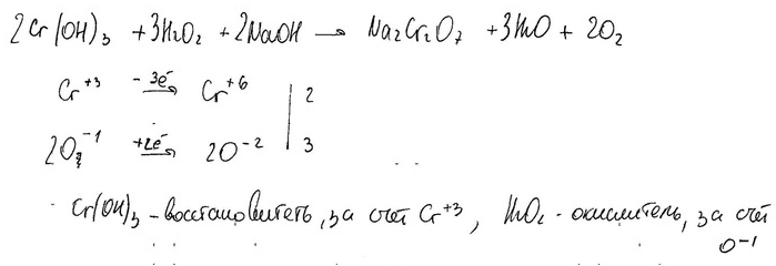
Пероксид водорода, силикат натрия, гидроксид хрома(III), бромоводород, гидроксид натрия, оксид марганца(II). Допустимо использование воды в качестве среды для протекания реакции.
Из предложенного перечня выберите вещества, окислительно-восстановительная реакция между которыми протекает с образованием раствора, окрашенного в желтый цвет. Запишите уравнение только одной из возможных окислительно-восстановительных реакций с участием выбранных веществ. Составьте электронный баланс, укажите окислитель и восстановитель.
Оцените ответ:
