Для выполнения задания используйте следующий перечень веществ:
серная кислота, сульфат аммония, иодид калия, гидрокарбонат магния, оксид марганца(IV), бром. Допустимо использование воды в качестве среды для протекания реакции.
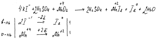
Из предложенного перечня выберите вещества, окислительно-восстановительная реакция между которыми протекает с образованием простого вещества и двух солей. Запишите уравнение только одной из возможных окислительно-восстановительных реакций с участием выбранных веществ. Составьте электронный баланс, укажите окислитель и восстановитель.
Оцените ответ:
