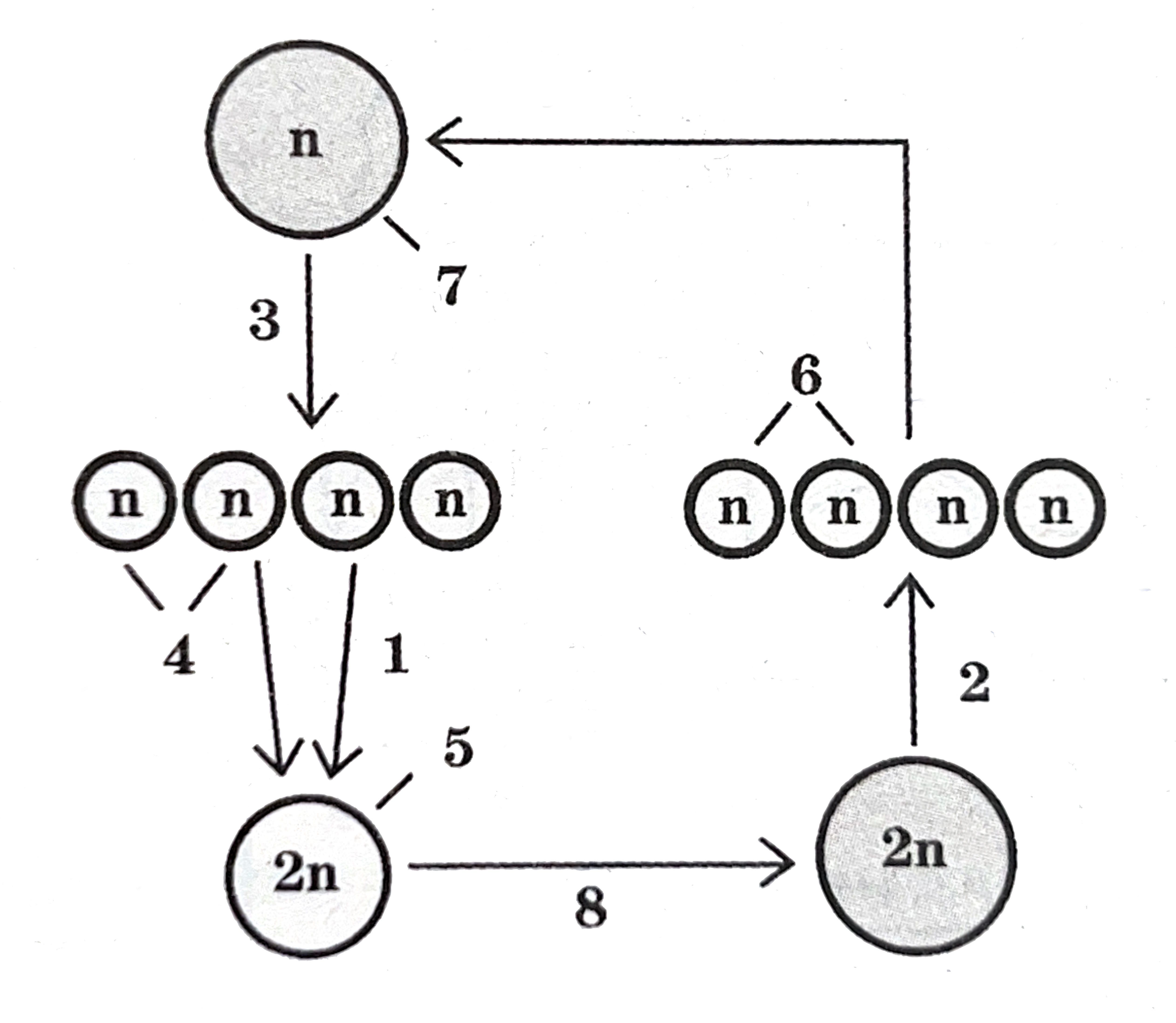
Установите соответствие между признаками и процессами, обозначенными на схеме цифрами 1, 2, 3: к каждой позиции, данной в первом столбце, подберите соответствующую позицию из второго столбца.

| ПРИЗНАКИ | ПРОЦЕССЫ |
|
A) формирование гамет Б) образование зиготы B) мейоз Г) спорообразование Д) митоз |
1) 1 2) 2 3) 3 |
Запишите в таблицу выбранные цифры под соответствующими буквами.