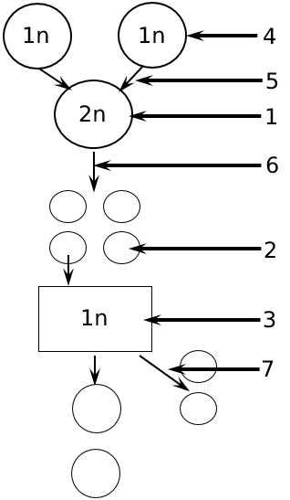
Установите соответствие между характеристиками и этапами жизненного цикла организма, обозначенными цифрами на схеме: к каждой позиции, данной в первом столбце, подберите соответствующую позицию из второго столбца.

| ХАРАКТЕРИСТИКИ | ЭТАПЫ ЖИЗНЕННОГО ЦИКЛА ОРГАНИЗМА |
|
А) развивается из спор Б) образуется в результате оплодотворения В) образуется в результате редукционного деления Г) многоклеточный гаплоидный организм Д) как правило, покоящаяся стадия при данном жизненном цикле Е) одноклеточная структура, дающая начало взрослому организму |
1) 1 2) 2 3) 3 |