stepenin.ru VK ID
Майский интенсив. Разложим всё по полочкам!
Химия. База заданий  ›  Органика
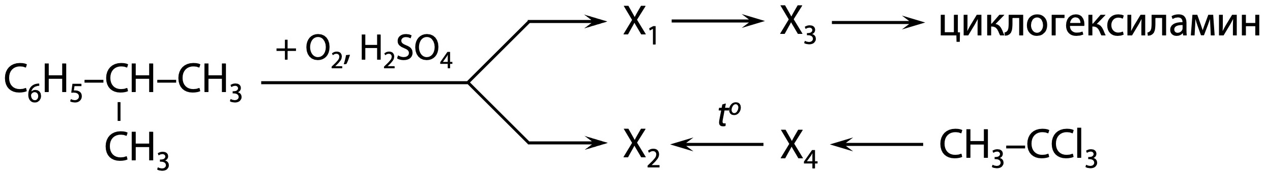
Задание №32 ЕГЭ. Превращения органических веществ
104 вопрос  · ID 109031 Автор: Степенин и Дацук
Тест из урока «Вебинар и домашка»

Напишите уравнения реакций, с помощью которых можно осуществить следующие превращения:

При написании уравнений реакций используйте структурные формулы органических веществ.

Войти с VK ID
73% учеников отвечают на вопрос правильно
1 2 3 4 5 6 7 8 9 10 11 12 13 14 15 16 17 18 19 20 21 22 23 24 25 26 27 28 29 30 31 32 33 34 35 36 37 38 39 40 41 42 43 44 45 46 47 48 49 50 51 52 53 54 55 56 57 58 59 60 61 62 63 64 65 66 67 68 69 70 71 72 73 74 75 76 77 78 79 80 81 82 83 84 85 86 87 88 89 90 91 92 93 94 95 96 97 98 99 100 101 102 103 104 105 106 107 108 109 110 111 112 113 114 115 116 117 118 119 120 121 122 123 124 125 126 127 128 129 130 131 132 133 134 135 136
Химия: 10 класс ВК Степенина Химия: 10 класс Химия: 10 класс Химия: 10 класс ОГЭ с химкотом Химия: 10 класс ЕГЭ с химкотом Химия: 10 класс Химия ЕГЭ и 10 класс Химия: 10 класс ЕГЭ с химкотом